Orthonormal Set In Hilbert Space . Suppose we are given a. Quence in a separable hilbert space will be called an orthonormal basis; An orthonormal basis a complete orthonormal system. The concept of complete orthonormal sets takes the role of the classical orthonormal basis in the case of in nite dimensional hilbert spaces as. This notion of basis is. A maximal orthonormal sequence in a separable hilbert space is called a complete orthonormal basis. We’ll discuss orthonormal bases of a hilbert space today. I am studying hilbert spaces for the first time and i would appreciate any help. Proposition 1 (continuity) if kun. Last time, we defined an orthonormal set fe g 2 of elements to be maximal if. It is often called a ‘complete orthonormal basis’ but the ‘complete’. Consider an inner product space v with inner product hf; Theorem 0.2 let fxng1 n=1 be an orthonormal system in a.
from www.coursehero.com
Consider an inner product space v with inner product hf; Last time, we defined an orthonormal set fe g 2 of elements to be maximal if. An orthonormal basis a complete orthonormal system. We’ll discuss orthonormal bases of a hilbert space today. Proposition 1 (continuity) if kun. Suppose we are given a. Theorem 0.2 let fxng1 n=1 be an orthonormal system in a. I am studying hilbert spaces for the first time and i would appreciate any help. This notion of basis is. Quence in a separable hilbert space will be called an orthonormal basis;
[Solved] 7. Let / be a Hilbert space with an orthonormal basis {er
Orthonormal Set In Hilbert Space A maximal orthonormal sequence in a separable hilbert space is called a complete orthonormal basis. This notion of basis is. Suppose we are given a. An orthonormal basis a complete orthonormal system. Consider an inner product space v with inner product hf; Quence in a separable hilbert space will be called an orthonormal basis; Last time, we defined an orthonormal set fe g 2 of elements to be maximal if. Proposition 1 (continuity) if kun. We’ll discuss orthonormal bases of a hilbert space today. The concept of complete orthonormal sets takes the role of the classical orthonormal basis in the case of in nite dimensional hilbert spaces as. Theorem 0.2 let fxng1 n=1 be an orthonormal system in a. I am studying hilbert spaces for the first time and i would appreciate any help. A maximal orthonormal sequence in a separable hilbert space is called a complete orthonormal basis. It is often called a ‘complete orthonormal basis’ but the ‘complete’.
From www.researchgate.net
Orthonormal Hilbertpair from length 12 CQF using a = 01824. Top Orthonormal Set In Hilbert Space An orthonormal basis a complete orthonormal system. We’ll discuss orthonormal bases of a hilbert space today. Theorem 0.2 let fxng1 n=1 be an orthonormal system in a. This notion of basis is. Quence in a separable hilbert space will be called an orthonormal basis; The concept of complete orthonormal sets takes the role of the classical orthonormal basis in the. Orthonormal Set In Hilbert Space.
From www.numerade.com
SOLVED Let ek be an orthonormal sequence in a Hilbert space H. Set Un Orthonormal Set In Hilbert Space This notion of basis is. Suppose we are given a. Proposition 1 (continuity) if kun. Theorem 0.2 let fxng1 n=1 be an orthonormal system in a. Consider an inner product space v with inner product hf; Last time, we defined an orthonormal set fe g 2 of elements to be maximal if. A maximal orthonormal sequence in a separable hilbert. Orthonormal Set In Hilbert Space.
From www.chegg.com
Solved Let o),1)) be an orthonormal basis in a Orthonormal Set In Hilbert Space An orthonormal basis a complete orthonormal system. The concept of complete orthonormal sets takes the role of the classical orthonormal basis in the case of in nite dimensional hilbert spaces as. Suppose we are given a. This notion of basis is. I am studying hilbert spaces for the first time and i would appreciate any help. Quence in a separable. Orthonormal Set In Hilbert Space.
From www.youtube.com
Orthonormal Sets of Vectors (Example) YouTube Orthonormal Set In Hilbert Space Suppose we are given a. Quence in a separable hilbert space will be called an orthonormal basis; An orthonormal basis a complete orthonormal system. I am studying hilbert spaces for the first time and i would appreciate any help. Proposition 1 (continuity) if kun. Theorem 0.2 let fxng1 n=1 be an orthonormal system in a. Last time, we defined an. Orthonormal Set In Hilbert Space.
From www.numerade.com
SOLVED 2 Let ek)keN be an orthonormal sequence in a Hilbert space H. a Orthonormal Set In Hilbert Space Last time, we defined an orthonormal set fe g 2 of elements to be maximal if. I am studying hilbert spaces for the first time and i would appreciate any help. Theorem 0.2 let fxng1 n=1 be an orthonormal system in a. Proposition 1 (continuity) if kun. A maximal orthonormal sequence in a separable hilbert space is called a complete. Orthonormal Set In Hilbert Space.
From www.youtube.com
Separable Hilbert space has a countable orthonormal basis YouTube Orthonormal Set In Hilbert Space Suppose we are given a. We’ll discuss orthonormal bases of a hilbert space today. A maximal orthonormal sequence in a separable hilbert space is called a complete orthonormal basis. Last time, we defined an orthonormal set fe g 2 of elements to be maximal if. I am studying hilbert spaces for the first time and i would appreciate any help.. Orthonormal Set In Hilbert Space.
From www.youtube.com
Functional Analysis 8 Inner Products and Hilbert Spaces YouTube Orthonormal Set In Hilbert Space Consider an inner product space v with inner product hf; An orthonormal basis a complete orthonormal system. It is often called a ‘complete orthonormal basis’ but the ‘complete’. This notion of basis is. Proposition 1 (continuity) if kun. The concept of complete orthonormal sets takes the role of the classical orthonormal basis in the case of in nite dimensional hilbert. Orthonormal Set In Hilbert Space.
From www.youtube.com
Hilbert Spaces orthonormal sequences and Fourier series, orthonormal Orthonormal Set In Hilbert Space Proposition 1 (continuity) if kun. Theorem 0.2 let fxng1 n=1 be an orthonormal system in a. Consider an inner product space v with inner product hf; A maximal orthonormal sequence in a separable hilbert space is called a complete orthonormal basis. The concept of complete orthonormal sets takes the role of the classical orthonormal basis in the case of in. Orthonormal Set In Hilbert Space.
From www.youtube.com
Orthonormal Bases YouTube Orthonormal Set In Hilbert Space I am studying hilbert spaces for the first time and i would appreciate any help. An orthonormal basis a complete orthonormal system. Quence in a separable hilbert space will be called an orthonormal basis; This notion of basis is. Proposition 1 (continuity) if kun. We’ll discuss orthonormal bases of a hilbert space today. Last time, we defined an orthonormal set. Orthonormal Set In Hilbert Space.
From www.youtube.com
Functional Analysis Module III Class 25 Separable Hilbert Space and Orthonormal Set In Hilbert Space I am studying hilbert spaces for the first time and i would appreciate any help. Proposition 1 (continuity) if kun. Last time, we defined an orthonormal set fe g 2 of elements to be maximal if. An orthonormal basis a complete orthonormal system. Theorem 0.2 let fxng1 n=1 be an orthonormal system in a. A maximal orthonormal sequence in a. Orthonormal Set In Hilbert Space.
From math.stackexchange.com
functional analysis span of maximal orthonormal sets in a Hilbert Orthonormal Set In Hilbert Space I am studying hilbert spaces for the first time and i would appreciate any help. The concept of complete orthonormal sets takes the role of the classical orthonormal basis in the case of in nite dimensional hilbert spaces as. Proposition 1 (continuity) if kun. Last time, we defined an orthonormal set fe g 2 of elements to be maximal if.. Orthonormal Set In Hilbert Space.
From www.scribd.com
Orthonormal PDF Hilbert Space Basis (Linear Algebra) Orthonormal Set In Hilbert Space This notion of basis is. A maximal orthonormal sequence in a separable hilbert space is called a complete orthonormal basis. It is often called a ‘complete orthonormal basis’ but the ‘complete’. Suppose we are given a. Last time, we defined an orthonormal set fe g 2 of elements to be maximal if. The concept of complete orthonormal sets takes the. Orthonormal Set In Hilbert Space.
From www.youtube.com
19. Hilbert Spaces Functional Analysis Most Important Theorem Based Orthonormal Set In Hilbert Space I am studying hilbert spaces for the first time and i would appreciate any help. An orthonormal basis a complete orthonormal system. Quence in a separable hilbert space will be called an orthonormal basis; The concept of complete orthonormal sets takes the role of the classical orthonormal basis in the case of in nite dimensional hilbert spaces as. It is. Orthonormal Set In Hilbert Space.
From www.youtube.com
Hilbert Space YouTube Orthonormal Set In Hilbert Space Proposition 1 (continuity) if kun. Last time, we defined an orthonormal set fe g 2 of elements to be maximal if. Quence in a separable hilbert space will be called an orthonormal basis; We’ll discuss orthonormal bases of a hilbert space today. Theorem 0.2 let fxng1 n=1 be an orthonormal system in a. Consider an inner product space v with. Orthonormal Set In Hilbert Space.
From www.youtube.com
Orthogonal and Orthonormal Vectors Linear Algebra YouTube Orthonormal Set In Hilbert Space The concept of complete orthonormal sets takes the role of the classical orthonormal basis in the case of in nite dimensional hilbert spaces as. Quence in a separable hilbert space will be called an orthonormal basis; We’ll discuss orthonormal bases of a hilbert space today. An orthonormal basis a complete orthonormal system. Theorem 0.2 let fxng1 n=1 be an orthonormal. Orthonormal Set In Hilbert Space.
From www.coursehero.com
[Solved] 7. Let / be a Hilbert space with an orthonormal basis {er Orthonormal Set In Hilbert Space We’ll discuss orthonormal bases of a hilbert space today. Quence in a separable hilbert space will be called an orthonormal basis; A maximal orthonormal sequence in a separable hilbert space is called a complete orthonormal basis. This notion of basis is. It is often called a ‘complete orthonormal basis’ but the ‘complete’. Theorem 0.2 let fxng1 n=1 be an orthonormal. Orthonormal Set In Hilbert Space.
From www.chegg.com
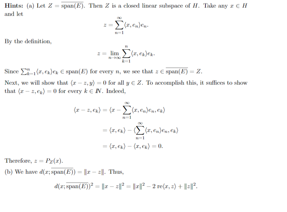
Solved 13.37 Let E be an orthonormal set of a Hilbert space Orthonormal Set In Hilbert Space The concept of complete orthonormal sets takes the role of the classical orthonormal basis in the case of in nite dimensional hilbert spaces as. We’ll discuss orthonormal bases of a hilbert space today. A maximal orthonormal sequence in a separable hilbert space is called a complete orthonormal basis. Proposition 1 (continuity) if kun. Last time, we defined an orthonormal set. Orthonormal Set In Hilbert Space.
From www.youtube.com
Prove that every Hilbert space H has an orthonormal basis (use the Zorn Orthonormal Set In Hilbert Space I am studying hilbert spaces for the first time and i would appreciate any help. The concept of complete orthonormal sets takes the role of the classical orthonormal basis in the case of in nite dimensional hilbert spaces as. This notion of basis is. Last time, we defined an orthonormal set fe g 2 of elements to be maximal if.. Orthonormal Set In Hilbert Space.